| Продуктивність ηmax | 300 |
|---|---|
| Частота обертання, об. / Хв | 3000 |
| Макс. температура переміщуваного повітря, °С | 40 |
| Потужність електроприводу, кВт | 0,37 |
| D/Dн | 1 |
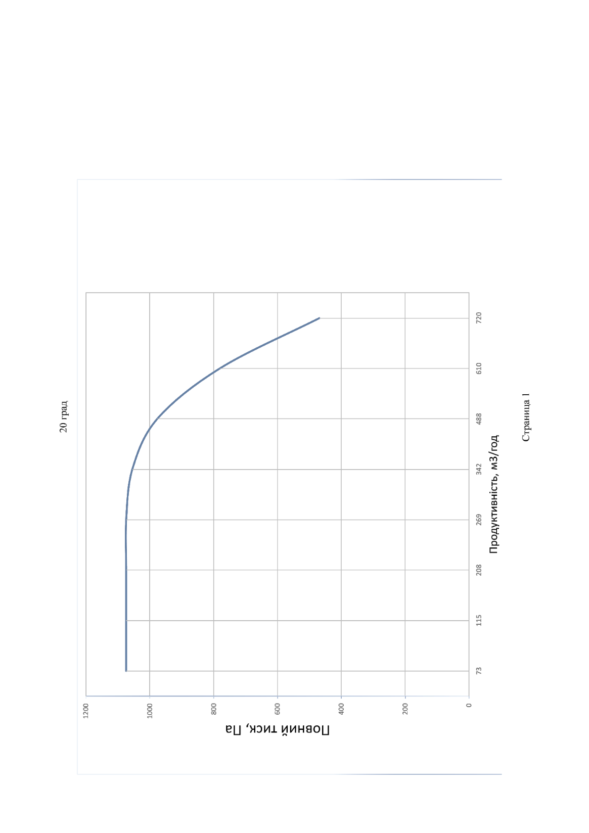
| Робоча точка вентилятора: Тиск, Па | 470-1070 |
| Тиск ηmax | 1050 |
| Маса, кг | 37 |
| Двигун кВт / об. / Хв | 0,37 / 3000 |
| Привід: | ручний і електричний |
| Кількість працюючих при ручному приводі, чол.: | 2 |
| Напруга, В | 220-380 |
| Мін. температура переміщуваного повітря, °С: | -40 |
| Модель | ЕРВ-2022-28-2,5 |
| Робоча точка вентилятора: Продуктивність, м³/год | 100-700 |
ЕРВ-2022-28-2,5 з електродвигуном 0,37 кВт 3000 об/хв
Ціна договірна
ID 37812x5
Є в наявності
ID 37812x5
Є в наявності
ЕРВ-2022-28-2,5 з електродвигуном 0,37 кВт 3000 об/хв
ЕРВ-2022
Електроручний вентилятор для бомбосховищ
Призначення вентилятора ЕРВ-2022
Вентилятор електроручний ЕРВ-2022 розроблено КБ ТОВ "Київський вентиляторний завод" у 2022 році безпосередньо під час воєнних дій у період агресії Росії проти України як аналог морально і технічно застарілого вентилятора ЕРВ-49. Цей вентилятор призначений для вентиляції сховищ, споруд цивільної та військової оборони, які не мають автономної системи електропостачання.Загальні відомості про вентилятор ЕРВ-2022
- Підвищений, дуже високий ККД (85%) для зменшення навантаження під час ручного режиму роботи
- Середній тиск
- Одностороннього всмоктування
- Корпус спіральний поворотний, під час монтажу може бути обраний необхідний кут повороту равлика
- Напрямок обертання - лівий або правий
- Привід ручний та електричний.
Умови експлуатації вентилятора ЕРВ-2022
Температура довкілля від -40°С до +40°С, помірний клімат, 2-а або 3-тя категорії розміщення. Може бути поставлений вентилятор спеціального виготовлення для тропічного клімату і підвищеної запиленості, що раніше було неможливо.Режими роботи електроручного вентилятора ЕРВ-2022
- I режим - чистої вентиляції
- II режим - фільтровентиляції
- III режим - регенерації.
Додаткова інформація про вентилятор ЕРВ-2022
Особливістю і перевагою роботи вентилятора від електроприводу є те, що редуктор не від'єднується від вала робочого колеса, а працює вже в зчленованому положенні та не потребує додаткових дій зі зчленування вала двигуна з редуктором у момент переходу на ручний режим. За відсутності електроенергії робота вентилятора здійснюється обертанням рукоятки редуктора.Переваги ЕРВ-2022 (аналог ЕРВ-49):
Перші моделі вентилятора електроручного для сховищ було представлено ще 1949 року. Але ця модель ЕРВ-49 стала морально і технічно застарілою: вентилятор мав велику вагу, малий ККД, велике навантаження для людини в ручному режимі роботи, виконання його в одному напрямку обертання і одному куту повороту равлика робило його вкрай незручним для експлуатації та монтажу. Ну і найголовніше: Вентилятор ЕРВ-2022, на відміну від ЕРВ-49, не вимагає ніяких додаткових з'єднань і дій з підключення редуктора до електродвигуна. Для переходу в ручний режим потрібно просто під'єднати ручку. Наступною безсумнівною перевагою цього вентилятора - це його потужність. Вона вдвічі більша за ЕРВ-49, а це означає, що для ручної роботи достатньо зусиль однієї людини, щоб провентилювати істотно більше приміщення.Призначення ЕРВ-2022:
Електроручний вентилятор ЕРВ 2022 спеціально розроблено для вентиляції приміщень цивільної оборони, бомбосховищ, без автономних систем електропостачання, а також для забезпечення надійної вентиляції бомбосховищ та об'єктів військової та цивільної оборони, що обладнані дизельними генераторами, на випадок їхнього виходу з ладу або обмеженої можливості роботи в часі.Конструкція вентилятора електроручного ЕРВ-2022:
Конструкція електроручного вентилятора ЕРВ 2022 являє собою корпус, виготовлений із міцної конструкційної сталі, станину, спеціальний редуктор і електродвигун. Вентилятор може працювати як від електродвигуна, так і від ручного обертання рукоятки редуктора. Двигун перебуває в постійному зчленуванні з редуктором і не потребує додаткових напівмуфт. Коли двигун не працює, вентиляція може бути організована тільки вручну - обертанням рукоятки редуктора. Вентилятор виготовлений лівого напрямку обертання. Зазвичай електроручний вентилятор має бути встановлений на відстані 1125 мм від рівня підлоги до осі двигуна. Робота електроручного вентилятора ЕРВ 2022 можлива в режимі звичайної (чистої) вентиляції (режим I) або ж у режимі фільтровентиляції та регенерації (режими II і III). У нашому магазині майже завжди нижче середньої. Ми робимо все, щоб наші клієнти отримували найвищу якість товарів і сервісу за розумну ціну. Якщо Ви хочете купити електроручний вентилятор для бомбосховищ ЕРВ-2022 за мінімальною ціною, Ви можете зв'язатися з нашими менеджерами найбільш зручним для вас способом. Також можливо оформити онлайн-замовлення прямо на сайті. У нас діє індивідуальна система знижок для постійних клієнтів або при оформленні великого замовлення. Компанія регулярно анонсує акційні ціни на популярні позиції по товарах, які є в наявності на складі. У разі, якщо Вам потрібна консультація з купівлі або підбору товару або ж вас цікавить повний прайс-лист, менеджери нашої компанії будуть раді Вам допомогти. Ціна на електроручний вентилятор для бомбосховищ ЕРВ-2022 в нашому магазині майже завжди нижча за середню. Ми робимо все, щоб наші клієнти отримували найвищу якість товарів і сервісу за розумну ціну.Габаритні розміри



Будьте першим, хто залишив відгук “ЕРВ-2022-28-2,5 з електродвигуном 0,37 кВт 3000 об/хв” Скасувати відповідь
Аеродинамічні характеристики






Відгуки
Відгуків немає, поки що.